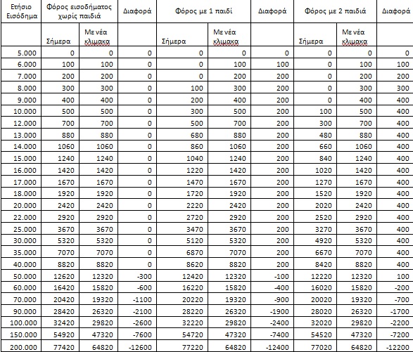
Σε μικρή βελτίωση για τα μεσαία εισοδήματα προχωρά το υπουργείο Οικονομικών αναφορικά με τις αλλαγές στην φορολογική κλίμακα. Με βάση νεότερες πληροφορίες ο ανώτατος συντελεστής 35% που θα θεσπιστεί θα αρχίσει να εφαρμόζεται για τα εισοδήματα άνω των 26.000 ευρώ και όχι των 16.000 που προέβλεπαν τα αρχικά σενάρια που είχαν πέσει στο τραπέζι του ΥΠΟΙΚ. Με την αλλαγή αυτή ουσιαστικά καταργούνται οι συντελεστές 38% (εφαρμόζονται στα εισοδήματα μεταξύ 40.000 και 60.000 ευρώ), ο συντελεστής 40% για τα εισοδήματα από τις 60.000 έως τις 100.000 ευρώ και ο συντελεστής 45% που εφαρμόζεται σήμερα για τα εισοδήματα άνω των 100.000 ευρώ.
Με την αλλαγή που έχει αποφασίσει το υπουργείο Οικονομικών οι επιβαρύνσεις ξεκινούν από τα 6.000 ευρώ για τους φορολογούμενους με παιδιά και φτάνουν για όλους τους φορολογούμενους μέχρι και το εισόδημα των 50.000 ευρώ. Με την προηγούμενη εκδοχή της φορολογικής κλίμακας όπου ο συντελεστής 35% ξεκινούσε από τις 16.000 ευρώ οι επιβαρύνσεις έφταναν μέχρι και το ετήσιο εισόδημα 90.000 ευρώ. Με άλλα λόγια η νέα εκδοχή της φορολογικής κλίμακας είναι πιο "φιλική" για τους φορολογούμενους με εισόδημα από 50.000 - 90.000 ευρώ. Ωστόσο, ακόμη και τα μεγαλύτερα εισοδήματα που με τη νέα φορολογική κλίμακα ελαφρύνονται θα πληγούν από την σαρωτική κατάργηση των φοροαπαλλαγών.
Η νέα κλίμακα, η οποία τελεί υπό την έγκριση της τρόικας, σύμφωνα με τις τελευταίες πληροφορίες θα έχει ως εξής:
| Εισόδημα | Συντελεστής |
| 0 - 5.000 | 0% |
| 5.000 - 12.000 | 10% |
| 12.000 - 16.000 | 18% |
| 16.000 - 26.000 | 25% |
| 25.000 και άνω | 35% |
Πόσο φόρο εισοδήματος θα πληρώσετε το 2013 με βάση τη νέα κλίμακα

Δεν υπάρχουν σχόλια:
Δημοσίευση σχολίου
Σημείωση: Μόνο ένα μέλος αυτού του ιστολογίου μπορεί να αναρτήσει σχόλιο.